Provided courtesy of the British Geological Survey. Fettes, D. J., Mendum, J. R., Smith, D. I. and Watson, J. V. 1992. Geology of the Outer Hebrides. Memoir of the British Geological Survey, Sheets (solid edition) Lewis and Harris, Uist and Barra (Scotland).

Chapter 2 Lewisian Complex: introduction and quartzofeldspathic gneisses

Introduction

The term Lewisian Gneiss was suggested first by Murchison (1862) for the 'fundamental gneisses' of Scotland. It was not until the turn of the century, however, that the name came into general usage, when it was adopted by the Geological Survey as a composite term to cover all rocks of preTorridonian age. Murchison chose the name because of the preponderance of gneiss in the Isle of Lewis: indeed, with the exception of the Stornoway Beds and the Phanerozoic dyke swarms, the whole of the Long Island is composed of Lewisian rocks.

Within the Lewisian Gneiss complex of the Outer Hebrides several lithological groupings can be recognised, although in many areas deformation and metamorphism have blurred the distinctions between some of these groups and made them look similar. These groups form the basis of subdivision of the chapters on the Lewisian as follows:

  • Quartzofeldspathic gneisses
  • Metasedimentary and metavolcanic gneisses
  • Older Basics and Ultrabasics
  • Late-Scourian intrusions
  • South Harris Igneous Complex
  • Corodale Gneiss
  • Ultrabasic complexes
  • Younger Basics
  • Late-Laxfordian granites and pegmatites
  • Late-Laxfordian minor intrusions

Although the South Harris Complex contains elements of other groups (e.g. Late-Laxfordian granites and pegmatites) it has historically been treated as an entity both in research work and literature. We have therefore largely treated it as such in this memoir.

Lithology

Quartzofeldspathic gneiss is by far the most common rock type in the Outer Hebrides, forming the 'general country rock' of the area. The term is used to cover all the rocks not easily ascribed to any other lithological group and as such contains the highly metamorphosed and deformed derivatives of the other groups. To cover this rather amorphous grouping Dearnley (1962a) introduced the term 'grey gneiss'.

Although the gneiss is surprisingly uniform on a regional scale it is locally strongly heterogeneous. It consists of a grey medium- to coarse-grained rock which generally shows a rough banding defined by mafic concentrates. The composition varies from biotite gneiss to biotite-hornblende gneiss, with a variable but usually low amount of potash feldspar.

The gneisses may also exhibit lit-par-lit pegmatitic banding which is intense locally. In addition the gneisses generally contain a variety of basic and ultrabasic bands, lenses and clots, all of which may show some degree of assimilation and recrystallisation. Because of their long and involved history the gneisses show a wide variety of textures ranging from highly migmatised and homogenised rocks to fine-grained highly sheared banded gneisses. Further details of the banding and of the mesoscopic fabric are given in Chapter 3.

Lewis and Harris

Lewis and Harris consist of a mixture of biotite gneiss and biotite-hornblende gneiss. No attempt has been made during the present survey to delineate gneiss types. Jehu and Craig (1934) state that hornblende-biotite gneiss is prevalent in Lewis, and Stevens (1913) suggests that hornblende gneiss is dominant to the west of Stornoway. Beer (1952) reports hornblende gneiss as the prevalent rock type in northern Lewis, and suggests that hornblende-free biotite gneiss is relatively uncommon and restricted to localised outcrops where it characteristically weathers into small compact knolls. Pyroxene is rare in the gneisses.

Myers (1970a) and Soldin (1978) have distinguished and mapped out various gneiss types in Harris. Myers has three main types: biotite-banded gneiss, amphibolite-banded gneiss, and pegmatite-banded gneiss. Biotite-banded gneiss predominates in the west and south (Myers, 1970a, fig. 1). Soldin (1978, fig. 3.2) shows hornblende-biotite gneiss in a broad belt running westwards from Seaforth Island in the area south of Toddun [NB 210 030] and from Loch Trollamarig [NB 21 02] westwards to Tarbert. Jehu and Craig (1934) suggest that biotite gneiss is the main rock type in eastern North Harris. Although those gross regional differences probably exist it is generally demonstrable in any traverse that the gneisses have been derived from a complex sequence of granitic, granodioritic and dioritic parents (see below).

Migmatitic banding marked by lit-par-lit pegmatites, generally 2–5 cm thick, is developed throughout the region, although considerable local variation in intensity occurs. As shown below it records both Scourian and Laxfordian events. In Lewis the degree of migmatisation is relatively low over most of the region, increasing dramatically in the Uig Hills area. This is well seen on the roadside traverse westwards from Grimersta. At Loch Sgaire [NB 2014 2869] excellent exposures in a small roadside quarry show grey gneiss with some thin (0.2 cm) and widely spaced (c.30–50 cm) pegmatite bands cut by a basic dyke. Some of the pegmatitic lits show a slight discordance to the banding in the gneiss. Similar rock types can be seen in roadside cuttings westwards to Carishader [NB 100 330], a particularly good example being seen on the west side of Little Loch Roag at [NB 127 266]. Westwards from Carishader there is a marked increase in the degree of migmatisation as is well seen on the headlands at Ard More Mangersta [NB 004 333] and Aird Fenish [NA 993 294]. Migmatitic gneisses are also seen on the north side of Loch Resort and the south-west end of Loch Langavat at [NB 1530 1693].

In Harris migmatitic gneisses are particularly abundant in the south and west. They are equivalent to the pegmatite-banded gneisses of Myers (1970a) and the zone of granite gneiss of Soldin (1978). They are well seen south of Tarbert in various road cuttings, for example along the 'Golden Road' past Drineshader [NG 172 948] and south towards Geocrab [NG 116 910]. In contrast to those gneisses, the roadside exposures from Ardhasaig [NB 131 049] northwards to Ardvourlie [NB 188 105] show only thin and widely spaced pegmatitic lits.

Scourian migmatisation

This phase of migmatisation postdates the Older Basics; in many places the migmatisation invades and partially digests them to form basic agmatites. Agmatites of this type which have been relatively unaffected by later deformation can be seen at various localities (see Myers, 1971, fig. 1) in Harris. Elsewhere blebs and lenses of Older Basics can commonly be seen in the migmatitic gneiss, for example on the south facing cliffs of Aird Fenish. At the roadside quarry east of Loch Sgaire [NB 202 287] a basic dyke cuts a basic agmatite. The agmatite may be traced in a band, apparently representing a migmatised Older Basic sheet. This disruption of basic bodies or bands during the Scourian must have been in part tectonic. Extreme examples of these effects have led to the production of a rather unusual and distinctive gneiss type. The rock is a fairly uniform medium-grained leucogneiss with discrete amphibolite pods. Myers (1970a, fig. 20, plate 2A) refers to this as amphibolite-lens gneiss and regards it as formed from the disruption of basic bands and sheets during the Scourian with homogenisation of the gneiss during the Late Scourian. This gneiss can be seen at several localities (Myers, 1970a, fig. 1), some of the best localities being on the southern slopes of Lag Macgodrom [NB 06 09]. Lisle (1974, p.26) described occurrences of this lensoid gneiss' in north-west Lewis. Myers also suggests that the Late-Scourian migmatisation and recrystallisation leads to local homogenisation of the gneiss with the disappearance of the gneissose banding. For the biotite gneiss this leads to the production of a rock virtually indistinguishable from later granites.

The Scourian age of much of the migmatisation is easily demonstrated with numerous examples of Younger Basic dykes cutting migmatitic banding, for example at Enaclete [NB 121 275], Lundale [NB 1817 3262], Lurg a Mula [NB 1179 1595], Aribruaich [NB 2340 1832] and at the east end of Loch Erisort [NB 3855 2370]. In Harris some spectacular examples can be seen at [NB 055 083] by Loch Leosaid (see (Plate 8)), at [NB 019 096] south of Creagan Ruadha (see (Plate 9)), and on the west side of the Loch Chliostair dam road just beyond its junction with the Hushinish road (see also Myers, 1971, fig. 1).

Laxfordian migmatisation and pegmatites

The pre-dyke or Scourian migmatisation is quite separate from the extensive phases of recrystallisation or remobilisation of the migmatitic gneisses which occurred during the Laxfordian. At several localities near Flodabay [NG 09 88] granite bodies up to 20 m2 in area may represent an extreme degree of Laxfordian migmatisation. These granites typically form diffuse pods, lenses and veins within the gneiss.

This second phase of migmatisation is generally very variable and many areas are largely unaffected (see below). Since it results in part from a remobilisation of the earlier migmatitic lits it reaches its greatest development in areas of strong Scourian migmatisation. In its weakest form the Laxfordian migmatisation is evidenced by intense recrystallisation leading to pegmatite production in the sheared out or attenuated limbs of folds (e.g. the roadside north of Kinlochroag [NB 1400 2391], east of Loch Geshader [NB 122 323], on Bearasta Mor [NG 126 949], NE of Sgaladal [NB 030 220] and the west side of Loch Langavat at [NB 1530 1693]. Myers (1971b) describes folds of this type with axial surfaces east–west trending and general amplitudes of about 5 m. Pegmatitic patches also occur in the necks of disrupted or boudinaged basic dykes, and here a certain degree of recrystallisation and digestion of the dyke may also occur. The greatest effects are seen in south-west Lewis in the Uig Hills, and in western North Harris and South Harris, where recrystallisation may be so extensive that patches of rock of 0.5-1.0 m2 completely lose their gneissose fabric, forming a coarse granitoid rock. In the same general areas pegmatisation is extensive, and small pegmatites that have apparently been generated locally from remobilised gneiss penetrate the surrounding rock. There they cause or are associated with extensive recrystallisation and coarsening of the gneiss fabric. The junction between the gneiss and these pegmatitic patches is generally gradational and poorly defined. Larger cross-cutting and intrusive pegmatites may terminate in generally diffuse patches of coarsened gneiss. The pegmatisation and general coarsening of the gneiss produces a characteristically coarse and sugary appearance extensively seen in the northern and central parts of the Uig Hills, for example, at Lighe Mhor [NB 060 303], the head of Loch Raonasgail [NB 038 265], Tarain [NB 050 275], Loch Benisval [NB 100 200] and on the north side of Loch Tamanavay [NB 030 219]. Such gneiss has a poorly defined foliation which in parts seems to disappear completely on the weathered surface although on the fresh surface a rough compositional banding can generally be picked out. There is a definite relationship between extensive Laxfordian recrystallisation and homogenisation, and the presence of Late-Scourian pegmatitic lits. In Harris larger areas of apparently remobilised gneiss or, more particularly, remobilised Scourian pegmatitic lits do swamp early Laxfordian folds. There is no evidence that Laxfordian structures or fabrics are greatly destroyed by this Late-Laxfordian migmatisation. The minimum age for this recrystallisation is given by the relationship of the gneiss to the Late-Laxfordian granites. Within the Uig Hills and in west and south Harris many examples can be seen of discrete granites cutting recrystallised gneisses. Even where the gneiss has been extensively remobilised to form homogeneous granitoid patches the granites commonly have sharp contacts. Also, in the area west of the foot of Loch Suainaval, numerous examples can be seen of discrete xenoliths of coarse pegmatised gneiss contained in granitic sheets. The relationship of recrystallisation of the gneiss to the granites is further discussed in Chapter 11: Granite genesis.

Where the gneisses have not been subjected to extensive Late-Laxfordian recrystallisation, their appearance in the field is very much controlled by their degree of deformation. Where the rock is highly strained, the migmatitic Scourian banding is characteristically streaked out to present a fine- to medium-grained, finely banded rock. The pegmatitic lits are in many places disrupted to form a series of augen. Rocks of this type are seen on the road south from Stornoway [NB 415 341], on the road to Arnish [NB 40 32], in the Balallan–Arivruaich area and on the Tarbert–Ardvourlie road. One of the best examples of highly strained rock is seen at Tiumpan Head, where the gneiss forms a uniform finely banded rock, well exposed on the cliffs just west of the lighthouse. On the south cliffs of Aird Fenish a dramatic example can be seen of the juxtaposition of coarse migmatitic gneiss and a fine-grained, uniformly banded, highly strained variety.

In addition to these essentially ductile deformational effects, the gneisses of Lewis characteristically show some degree of late-stage cataclasis. Although these textures are generally greatest towards the thrust zone, nearly all the gneisses show, at least in thin section, evidence of late deformation. Peach and Home (1930) remarked on this widespread cataclasis and highlighted it as one of the differences between the gneisses of the Outer Hebrides and those of the North-west Highlands. Below the Outer Hebrides Thrust, late-stage deformation is locally intense within a belt running north-westwards across Lewis bounded on the south-west by Loch Roag and Loch Seaforth, and on the east by a line through Callanish and the head of Loch Erisort. Within this belt the gneisses commonly exhibit a platy texture with concordant bands of ultramylonite. Within the thrust zone the rocks typically show evidence of low-grade alteration. In South Harris this zone of alteration appears below the thrust. Here, the rocks have a characteristic rather soapy look, and are rich in epidote. These rocks and their probable relationship to the thrust are discussed in Chapter 15: Mylonites; Folding.

Uist and Benbecula

In this region, which is taken to include the islands in the Sound of Harris, there is a recognisably higher proportion of metasediments and characteristically banded Older Basics than in Lewis and Harris. In addition much of central North Uist and the islands in the Sound of Harris consist of fine-grained gneisses with metasedimentary affinities: these rocks are discussed separately below. Otherwise the gneisses are essentially the same as those in the northern isles, being a mixture of banded biotite gneisses and biotite-hornblende gneisses with a variable number of pink pegmatitic lits. There is little information on the relative distribution of the gneiss types: Jehu and Craig (1925) suggest that biotite gneiss is the most common rock-type west of the thrust in South Uist. On the north-west coast of North Uist, Jehu and Craig (1926) describe areas of very pink acid gneiss, which they suggest are probably later than the biotite-hornblende gneiss. Graham (1970) also distinguishes a 'rough' and a 'smooth' gneiss on the north-west coast, the smooth gneiss being described as 'unhanded, homogeneous and finer grained than "rough gneiss'. The 'smooth gneiss' would, therefore, appear to be the same as Jehu and Craig's acid gneiss. In this memoir this 'gneiss' is regarded as a Late-Scourian 'granite' and is discussed in the appropriate section below (p.45).

Coward et al. (1969) and Coward (1973b, fig.1) report the occurrence of pyroxene-bearing gneisses in the Loch Skiport area, which they attribute to an early granulite-facies metamorphism. Another small patch of pyroxene-bearing gneiss occurs in association with a large cross-cutting dyke on Beinn Bheag Dheas [NF 78 29] in central South Uist.

Dearnley (1962a) originally divided this area into northern and southern parts, the southern part being characterised by, among other things, a preponderance of migmatites analagous to those of the Uig Hills and West Harris. Dearnley (1962a, pl. ix) also showed the north-western part of North Uist as being highly migmatised. Dearnley and Dunning (1968) cite several localities, mainly on the west coast of South Uist, where the gneisses show evidence of strong Laxfordian migmatisation.

Scourian migmatisation

A distinction must be drawn, however, between Scourian and Laxfordian migmatisation. Scourian migmatisation is widespread throughout the region although, as in Lewis and Harris, of variable intensity. Migmatised gneisses evidenced by pink pegmatite lits are cut by Younger Basic dykes, for example, at Ludag [NF 7754 1468], Orosay [NF 7301 1737], Beinn Bheag [NF 8077 1684], Rarnish [NF 872 483] and Vallay [NF 7605 7649]. Migmatised Older Basic sheets or agmatites are also abundant, and can be clearly seen to be cut by later basic dykes at Veilish Point [NF 8150 7819], on the north side of Loch Druidibeg [NF 780 893], above Sloe Dubh on Loch Eynort [NF 8030 2891] and at Reineval [NF 7538 2569]. At Ardivachar Point [NF 738 460] Dearnley and Dunning (1968) describe a basic agmatite which is clearly older than the later cross-cutting unmigmatised Younger Basic dykes, and similar relationships can be seen to the north at Hornish Point [NF 759 473]. In addition to this extensive pre-dyke migmatisation, evidence of homogenisation of the gneiss can be seen at Gleann na Beiste [NF 9064 7599]. Here a Younger Basic dyke cross-cuts uniform gneiss that contains flattened lenses of amphibolite very similar to the amphibolite-lens gneiss described from the northern isles.

Laxfordian migmatisation

Post-dyke migmatisation and remobilisation of the gneisses was less widespread than in the Scourian phase, and as in Lewis and Harris it is most intense in areas of pre-dyke migmatisation. It is manifested by the general coarsening of the gneiss and a destruction of the gneissose banding. Coarsely crystallised bands have formed, some with disseminated hornblende, apparently as a result of a local recrystallisation of the gneiss. Elsewhere locally generated pegmatite stringers and veinlets intrude the surrounding gneiss. It is, however, around the Younger Basic dykes that the greatest degrees of remobilisation are observed, with numerous examples of the dykes being assimilated or recrystallised. For example, at Trollaskeir [NF 726 273] a basic band can be seen with a strongly recrystallised margin, remobilised gneiss penetrating the margin of the dyke in small stringers and veinlets and the adjacent gneiss becoming homogenised. The opposite margin of the dyke has remained curiously unaffected, with a sharp contact against the gneiss. At Beinn Bheag Tuath [NF 7853 3038] excellent exposures on flat-lying slabs show basic dykes cut by quartzofeldspathic veins. The gneiss shows a Scourian migmatitic banding, and the basic sheets have undergone blocky boudinage with the appearance of regularly oriented veins of remobilised gneiss between the blocks. In some places the gneiss shows little evidence of recrystallisation adjacent to the dykes; elsewhere bands of remobilised gneiss flank the line of basic blocks, giving the whole an appearance of an agmatite zone with regularly shaped and spaced blocks. Where remobilisation has been most intense, veins of remobilised gneiss may extend across from one basic sheet to its neighbour.

Examples of basic dykes being assimilated by remobilised gneiss are described by Kursten (1957), from the south face of Arnaval. It is important to emphasise the rapid variation in intensity of migmatisation. This is dramatically shown in the quarry at Howmore [NF 7662 3649] where basic sheets have been progressively invaded and recrystallised across the quarry face from north to south, the extreme assimilation of the basic sheet leading to the production of a coarse hornblende-bearing patch of remobilised gneiss. On the north side of Beinn Bheag Deas [NF 78 29], a dyke has been reworked along its length. At the south end the dyke is discrete and cross-cutting, and the margins are fine-grained with blocky joints, whereas, as one moves 200 m along strike to the north it becomes reworked and amphibolitised, with feldspathic stringers and lenses developed parallel to the axial plane cleavage.

The only area where this post-dyke remobilisation of the gneiss reaches an intensity comparable with that seen in Harris is in the area below the thrust between Hecla [NB 827 345] and Loch Skipport (Coward, 1973b, fig. 6A). In this area patches of gneiss appear to be 'transformed' into granite or pegmatite. This phenomenon is most intense in the area immediately north of Hecla, where Coward (1973b) reports that the gneiss has been wholly transformed into a homogeneous granitic mass with mafic clots. As in the northern isles this widespread migmatisation appears to be a fairly late event; Coward (1973b) associates it with his f4 folds, perhaps analogous to the east–west folds of Myers (1971) in Harris (see earlier in this chapter and Chapter 13: Later Laxfordian structures). Examples of remobilised gneiss in the sheared or attenuated limbs or folds can be seen on the west side of Kearsinish [NF 794 174].

Although there are regional zones of vertically foliated, uniformly striking gneiss the rock does not show the same intensity of deformation seen in similar zones in Lewis: the Scourian banding and pegmatitic lits are less broken and boudinaged. Indeed, except where it has been locally homogenised or remobilised during the Laxfordian the main banding seen in the gneiss can be considered as an essentially Scourian fabric.

Within the thrust zone the rocks are extremely deformed and affected by low-grade alteration. In northern South Uist this late alteration extends below the thrust and affects a large area of relatively undeformed rocks. These effects are discussed in Chapter 15: Mylonites, and Late-stage alteration.

Barra and the southern isles

Barra and the neighbouring isles exhibit a variety of gneiss types. On Barra thrust phenomena are confined to a relatively narrow zone, which more or less bisects the island. The rocks above and below this thrust zone are largely unaffected by thrust movements. Above the thrust zone pyroxene-bearing gneisses with a characteristically brown colouring are common on Flodday, Fuiay, Bruernish Headland, and in the area east of a line through Earsary and the head of Loch Obe. Below the thrust, pyroxene gneisses are common on Hellisay, Gighay, Greanamul and Garbh Lingay (see also Francis, 1973). Elsewhere the rock is a mixture of banded biotite gneiss and hornblende-biotite gneiss with a variable number of ultrabasic and basic bands, lenses and clots.

Scourian migmatisation

As in the northern islands the gneisses are commonly migmatitic, with abundant pegmatite lits. Gneiss of this type is excellently exposed at several localities, for example at Borve [NF 651 014], on the south side of Greian Head [NF 650 045], locally on Sgeir Liath [NF 65 03] and over most of the southern isles. The Scourian age of this banding can be demonstrated at several localities: for example, basic dykes can be seen cutting the pegmatitic banding on Fuday at [NF 732 076] and [NF 744 084] and on Rudha Charnain [NL 699 978]. It should be noted that since the east coast of Barra exhibits particularly low Laxfordian strain it is possible to recognise a number of Late-Scourian igneous phases (q.v.) which include a suite of microdioritic dykes and granitic veins, the granites being demonstrably later. The micro-diorite dykes cut the migmatitic pegmatite banding (e.g. on Fuday [NF 744 084] and [NF 741 080], demonstrating their age as post-Scourian migmatisation. Of course, there may well have been some remobilisation of the migmatitic lits during the phase of granite and pegmatite intrusion.

There are many examples of Older Basics being agmatised by the Scourian migmatisation, for example at Halaman Bay [NF 644 005] and Mingulay [NF 570 833]. Good examples of basic agmatites cut by the Late-Scourian dioritic dykes can be seen on Fuday [NF 741 091] and at Leanish [NL 704 987]. Agmatites cut by Younger Basics can be seen at Rudha Charnain [NL 699 978] where an agmatitic hornblende gneiss is cut by an anastomosing dyke.

Laxfordian migmatisation

Remobilisation of the migmatitic lits during the Laxfordian is common, reaching its strongest development on Barra in a zone running south-eastwards from Beinn nan Carnan [NF 683 982] to the coast (zone 2 of Francis, 1973, fig. 1). Within this zone basic dykes are partially agmatised and digested, as described above, remobilisation of the gneiss being commonly confined to areas adjacent to the dykes. One dramatic example is seen at [NL 689 976] where remobilised gneiss has broken through the nose of a large fold defined by a basic dyke, producing a patch of basic agmatite (Francis, 1973, pl. 2). Remobilisation of the highly migmatitic gneisses is seen at other localities, for example, on Borve Point [NF 651 014] where the pegmatite stringers, generated locally from the Scourian lits, cross-cut the gneissose banding. At the same locality remobilised gneiss has broken through a large (about 2 m) basic body producing a patch of agmatite 3–4 m2 in area.

Post-dyke migmatisation and remobilisation is also common on the other southern isles. On Pabbay the effects increase westwards with the amphibolites becoming strongly agmatised and swamped in pegmatite. Similar effects are also seen on the west side of Sandray, and on Mingulay some good examples of basic agmatites are seen on the shore at [NL 566 829]. On Mingulay Bowes and Hopgood (1969a) describe three generations of pegmatite development. The first is nearly parallel to the gneissose foliation and would appear to equate to the general phase of Scourian migmatisation described above. The second phase Bowes and Hopgood associate with asymmetric folds with north-east-trending axial planes: they regard this second phase as locally generated and linked to the earlier lits. They also relate this second phase to a recrystallisation of the gneisses. It would therefore appear that this phase of pegmatisation is equivalent to the general phase of remobilisation described above. The third set of pegmatites is late stage.

Note on the distant isles

The distant islands of North Rona, Sula Sgeir and the Flannans have not been surveyed during the present investigation. The following paragraph is included only as a reference.

On North Rona Nesbitt (1961) records two belts of acid gneiss flanking a central amphibolite body (see Chapter 4: Banded Basics of the northern isles). The general assemblage of the gneiss is given as qz-olig-kf-bi, with zircon as an accessory. Analysis of the gneiss by Bowes (in Nesbitt, 1961) is broadly similar to that of the gneiss on the Long Island ((Table 3) analyses 1 and 2). On Sula Sgeir Stewart (1933) describes the rock as a hornblende gneiss, containing 30 to 40 per cent hornblende with biotite and augite as the other mafic minerals. The only feldspars reported are orthoclase and microcline; quartz is usually absent. Superficially the rock appears to be an amphibolite, possibly poorly migmatised. On the Flannan Isles Stewart (1933) describes the rock as similar to that of Sula Sgeir with more biotite, andesine and iron oxides.

Petrography

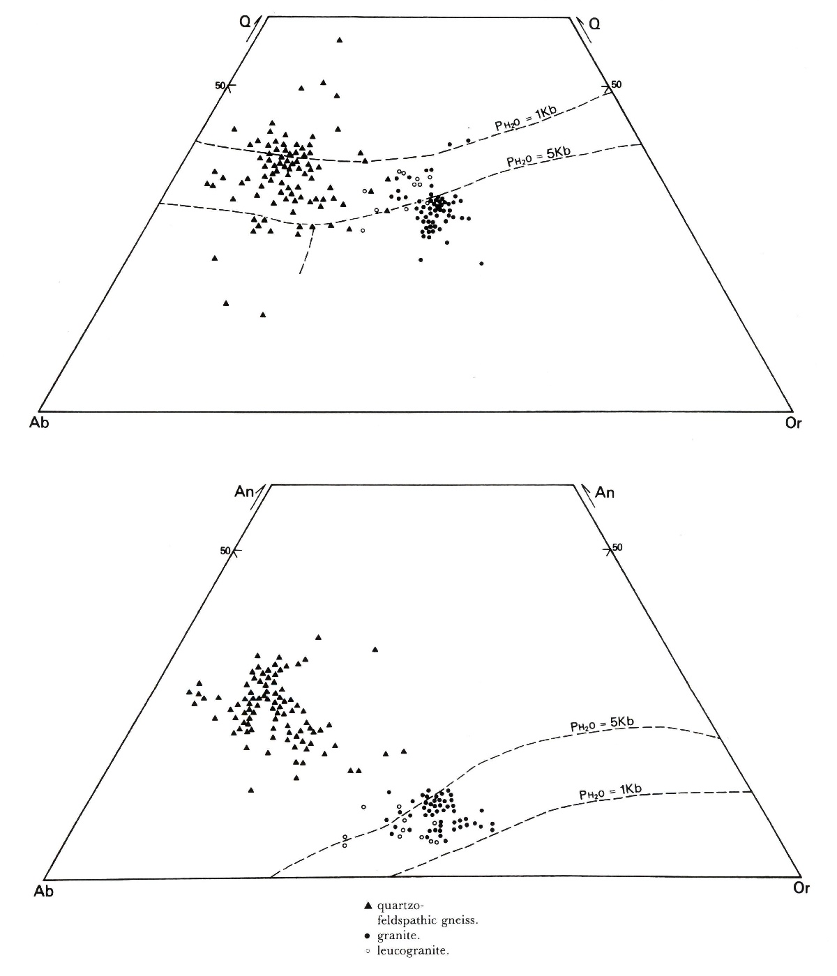
It is clear from the above account that the components of the quartzofeldspathic gneisses range in composition from basic to acid. Most of the gneisses, however, lie near the centre of this range. Modal analyses of the main gneiss types (the samples were chosen to cover the range 65 to 71 per cent SiO2 in the analysed samples) are given in (Table 2). They show a range of quartz from 22 to 35 per cent and a range of 4 to 20 per cent in mafic (mainly hornblende and biotite) content. Potash feldspar is always less than 10 per cent and is not significantly higher in the biotite gneiss than in the hornblende-biotite gneiss. Potash feldspar is always subordinate to plagioclase even in the most acid varieties, plagioclase forming about 50 per cent of the rock. These analyses therefore define the gneisses as granodioritic to tonalitic (sensu Streckeisen, 1976) in composition (Figure 3).

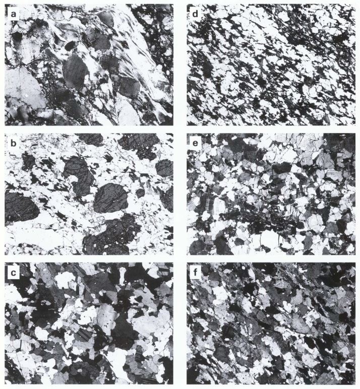
In thin section the gneisses show a range of textures from granoblastic medium- to coarse-grained to schistose and highly recrystallised varieties ((Plate 4)c, d, e, f). Many of the gneisses show evidence of late-stage cataclasis resulting in straining and granulation of the main mineral phases ((Plate 4)a). The mafic minerals are generally concentrated in layers or schlieren but biotite may also be more uniformly disseminated.

Typically the gneisses contain qz-pl-kf-bi-(hbl)-(px) assemblages. The accessories may include apatite, zircon, epidote, allanite, sphene and iron ores with secondary white micas and chlorite. There is a complete gradation from hornblende-biotite gneiss to biotite gneiss, the biotite gneiss being the more leucocratic. Apart from chemical composition the mineral phases in the gneisses are controlled by their metamorphic and deformational state. The gneisses range from opx-cpx bearing assemblages to hbl-bi bearing assemblages, and are described as such below. It should be stressed that there is no implication that all the gneisses with lower metamorphic grade assemblages are retrograde products of original high-grade assemblages. Indeed, as is discussed later (p.23), it is believed that very few of the gneisses ever crystallised in the two-pyroxene facies.

The highest grade rocks contain pyroxene. They are particularly abundant in north-eastern Barra and the Loch Skipport area of South Uist but occur only rarely elsewhere.

These rocks generally exhibit granoblastic textures with individual crystals of about 1.0 mm ((Plate 4)e). The assemblage is cpx-(opx)-hbl-pl-qz, garnet being notably absent. The pyroxenes generally form small aggregates of equigranular crytals. The orthopyroxene, where present, is usually a pale pink hypersthene, commonly forming slightly corroded crystals. In the present investigation it has always been found to be subordinate to the pale green diopsidic clinopyroxene. Hornblende is generally brownish green and is present in some proportion in all the rocks. Rarely, it occurs as small equant grains with well-formed crystal faces in contact with the pyroxene, suggesting that it was part of an original equilibrum assemblage. More commonly the hornblende is retrogressive after pyroxene. Biotite may be present, forming deep-red crystal aggregates. The felspar shows no zoning and has a composition of mid-oligoclase to andesine. Quartz is generally restricted to small (c.0.2 mm) grains. Potash feldspar may be present as an accessory in small interstitial grains. One notable feature is the large modal proportion of opaques (magnetite and ilmenite) relative to other gneisses. Small round crystals of epidote and apatite may occur as accessories.

In lower-grade assemblages the aggregates of pyroxene are replaced by large (c.2.5 mm) crystals of hornblende. The small equant grains of hornblende may also be present. Potash feldspar is more common, generally as orthoclase, more rarely as microcline. Myrmekite is also relatively common. The plagioclase shows little change although a few crystals display marginal zoning to a more sodic variety. It is possible that the average anorthite content is lower than in the higher-grade assemblages as andesine appears to be less common. With the increase of modal hornblende at the expense of pyroxene the iron oxides virtually disappear, suggesting their incorporation into the amphibole. Those that remain invert in part to sphene, which appears as an accessory with apatite and epidote. At the same time quartz increases both in size and modal amount. The lowest-grade assemblages examined in this sequence contain pale green-brown biotite and large (c.6 mm) crystals of blue-green hornblende enclosing small subidiomorphic grains of quartz and plagioclase. The felspar and quartz crystals are generally smaller (c.2 mm) than the mafic minerals. They are similar to those of higher grade. The crystals of quartz and feldspar do not show any good crystal faces and the order of crystallisation is difficult to determine. Only potash feldspar, which tends to be interstitial, may be regarded as a late phase. In an extensive examination of hornblende-biotite and biotite gneisses in North Harris (Soldin, 1978) reports several mineral analyses that show the amphiboles to be in the range from ferro-edenitic hornblende to magnesian hastingsitic hornblende (sensu Leake, 1978). The plagioclase averages Or: Ab: An = 1: 72: 27. Soldin (1978) reports the presence of antiperthites and perthites; microcline he records as rare. Peach and Horne (1930, p.59) remarked on the relative abundance of allanite in the gneisses of Lewis in contrast to those of the north-east Scottish mainland. Beer (1952), however, records that the hornblende-biotite gneisses generally contain no allanite, that mineral being confined to the biotite gneisses, and even there it is much less common than in the intrusive Laxfordian granites (q.v.). Some of the biotite gneisses also contain a relatively large proportion of sphene; it is interesting to note that hornblende-biotite gneisses with similar amounts of TiO2 do not carry sphene, supporting the suggestion made above that at this grade the TiO2 is tied up in amphibole.

The degree of late-stage 'cataclasis' and low-grade recrystallisation has an important influence on the texture and paragenesis of the minerals ((Plate 4)a). The quartz crystals become strained and boundaries become sutured, and eventually the quartz recrystallises to a ribbon fabric or in extreme cases to a mylonite. Similarly, feldspars exhibit strain-induced perthite intergrowths and twinning, and eventual granulation and alteration to white mica and epidote. Myrmekite is common but as with microcline it is unclear if it is related to the effects of cataclasis. Similarly, it is unclear to what extent the occurrence of myrmekite and microcline is related to the late recrystallisation and deformation. One of the most noticeable features of this recrystallisation is the alteration of hornblende to epidote. The presence of small sphene granules in association with the epidote may indicate that it is a byproduct of this reaction. The alteration takes place very easily, and even when the degree of deformation is low amphibole may disappear completely. Where this has happened the epidote may form large (c.1.5 mm) subidiomorphic crystals or the amphibole may be represented by bi-ep-sph-carbonate-chl aggregates. The conversion of hornblende to epidote is independent of the nature of the hornblende, both the dark green and the blue-green varieties altering with equal facility. The alteration of hornblende to biotite, the biotite initially forming as thin slivers on the hornblende cleavage planes, may also be attributable to these late-stage effects since the biotite is seen to form from dark-green or blue-green amphibole, suggesting that it is not part of the 'normal' metamorphic sequence. Biotite itself appears in some thin sections to have altered to an aggregate of potash-feldspar and epidote. Late deformation also induces the exsolution of fine-grained iron oxide from the pyroxene and hornblende crystals, giving them a black dusty look. Iron oxides may also occur along strain induced 'cracks' in the feldspars.

The relationship of the various phases to the metamorphic history is discussed at the end of this chapter.

(Table 2) Modal analyses of quartzofeldspathic gneisses

Thin Section No. Grid reference Quartz Plagioclase K-feldspar Biotite Hornblende Epidote Others
(S61122) [NG 0551 9718] [NG 0551 9718] 35.4 56.2 3.4 4.1 0.7 0.2
(S61135) [NB 0633 0934] [NB 0633 0934] 32.7 48.2 2.2 11.8 4.9 0.2
(S58832) [NB 2415 3175] [NB 2415 3175] 30.0 49.3 8.8 11.0 0.7 0.2
(S58768) [NB 0741 3642] [NB 0741 3642] 29.6 59.0 1.3 8.6 1.4 0.1
(S61144) [NB 0761 0651] [NB 0761 0651] 27.0 49.0 0.7 13.1 6.0 3.8 0.4
(S61139) [NB 0168 0983] [NB 0168 0983] 25.2 55.8 2.6 10.7 4.9 0.3 0.5
(S58835) [NB 1412 2454] [NB 2045 2890] 22.9 44.9 7.5 8.9 12.0 3.6 0.2
(S58825) [NB 0327 2756] [NB 0327 2756] 22.4 57.7 2.2 8.0 0.6 8.5 0.6
Mean 28.1 52.6 3.6 9.6 3.0 3.0 0.3
RL* 27.2

57.8

12.7

2.3

  • RL* Mean of 14 analyses of the leucogneiss component of grey gneiss (from Lisle, 1974).

Geochemistry

The only previous work on the geochemistry of the gneisses of the Outer Hebrides is that by Tarney et al. (1972), Sheraton et al. (1973), Soldin (1976), and Bowes and Hopgood (1969a). Tarney et al. (1972), as part of a regional comparison of north-western Scotland and Greenland, characterised the chemistry of the Outer Hebrides gneisses and found that they showed a regional increase in K and Rb from the gneiss of the northern and eastern Lewis towards the south-west, that is, into the area dominated by intensely recrystallised Scourian migmatite and Late-Laxfordian granites. Soldin (1978), in an extensive study of part of northern Harris, produced analyses of biotite gneiss, hornblende-biotite gneiss and granitic rocks. Bowes and Hopgood's (1969a) work refers only to the island of Mingulay.

In the present survey a further 34 analyses of gneisses from Lewis and Harris have been carried out, and these, along with the results of Tarney et al. (1972) and Soldin (1978), give a coverage of 149 analyses in the northern isles. For comparative purposes a further 5 full analyses and partial analyses were made on representative gneisses from the Uists. The BGS analyses from Lewis and Harris were largely designed to give a representative sample from the west of the area. No attempt was made to collect the specimens on a grid basis.

In the areas of highly migmatised gneiss of West Harris and the Uig Hills, samples were collected to represent both the highly pegmatised 'sugary' gneiss and the remobilised gneiss, as well as rocks representing the least migmatised or recrystallised varieties, that is rocks without pink potassic lits and stringers. In sampling the banded gneisses or gneisses with migmatitic lits an attempt was made to collect the constituent parts in proportion to their appearance on the outcrop. A full list of the analyses is on file at the Edinburgh office of BGS. Average values are presented in (Table 3).

The full results show that the gneisses range from 62 to 75 per cent SiO2 and from 1 to 6 per cent K2O, the average analysis being broadly equivalent in composition, except for higher soda values, to a granodiorite/adamellite with a range from granite to tonalite (Le Maitre, 1976). The gneisses also have relatively high values of La and low Nb and Y compared with Taylor's (1966) averages for granitic and granodioritic rocks. Compared with Taylor's average crust the gneisses are relatively rich in Ba and La and poor in Y and Nb (values from Tarney et al., 1972). Ternary plots (normative Q-ab-or, an-ab-or) are shown on (Figure 23). Although there are regional variations it is obvious from (Table 3) that the rocks of the Outer Hebrides are similar to those of the Laxfordian areas of the mainland and also of Greenland (Tarney et al., 1972) and are significantly different from the Scourian granulites, being notably richer in K, Li and Rb. Soldin (1978) showed that in North Harris the biotite gneisses were on average significantly richer in SiO2, K2O and Rb but poorer in MgO, FeO, MnO, CaO and Zr than the hornblende-biotite gneisses. Soldin (1978) concluded that the differences were fundamental and did not represent any secondary metasomatic or metamorphic effect. The gneisses of the Uists are relatively more basic than those of Lewis and Harris, being richer in FeO, MgO and CaO but poorer in K2O and Rb (see AFM plot, (Figure 6), p.32).

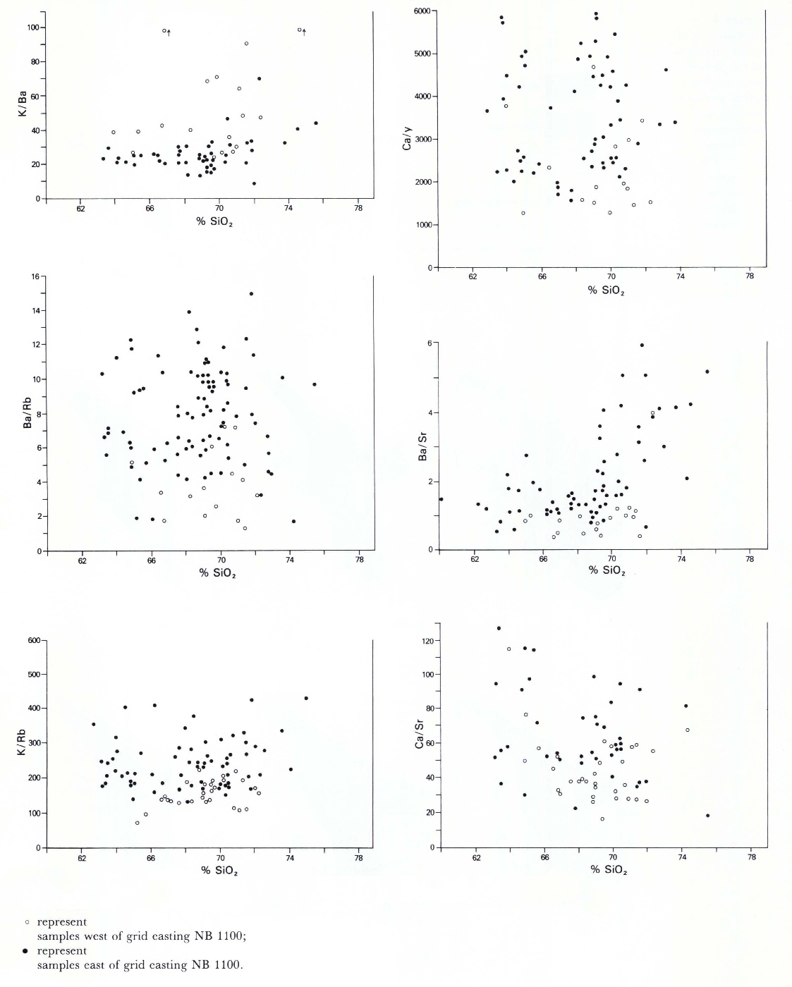
In order to test whether there are regional variations across Lewis and Harris (as suggested by Tarney et al., 1972) the ratios K/Ba, Ba/Rb, K/Rb, Ca/Y, Ba/Sr and Ca/Sr were selected as probably significant parameters and plotted. The results are presented in (Figure 4). For illustrative purposes arbitrary divisions have been made of low-, medium- and high-range values. It is obvious that the ratios Ba/Rb, K/Rb, Ca/Y, Ba/Sr and Ca/Sr fall from east to west and that the ratio K/Ba rises. It should be stressed that these changes are gradational and relate to an increase in the lighter elements from east to west. To determine if this change reflected a general change in lithological type or possibly a biased collection of rocks, the various ratios were plotted against the weight percent SiO2, the SiO2 content being regarded as a useful reflection of rock lithology. Initially the area was divided into four quarters along easting [NB 1100] and northing [NB 9200], and the regional variation of the elemental ratios against SiO2 examined. The north–south division was found to be not signifiCant, and only the east–west division was retained ((Figure 5)). Despite the fact that the division across the area was an arbitrary straight line it is obvious that there is a regional variation in the ratios for all values of SiO2. The average analyses and ratios for the two areas are given in columns 1, 2 in (Table 3). Examination of (Figure 4) and (Figure 5) also indicates that although there are east–west increases of Ba, K and Rb, the Rb content increases proportionally much more than the other elements. Since the east–west increase in these lighter elements is areally related to an increase in both Scourian migmatisation and Laxfordian remobilisation and recrystallisation, it is tempting to relate the chemical variations to the migmatisation. Within the 'zone of migmatisation' the K2O content may be taken as a general indicator of the degree of migmatisation: it is 5–6 per cent in migmatised rocks as opposed to 1-3 per cent in the adjacent unmigmatised rocks. The latter figure is comparable to that of gneisses outside the zone of migmatisation. In order to examine further the possibility that chemical variations are related to migmatisation, the elemental ratios were compared for gneisses with similar K2O content from within and outside the 'zone of migmatisation'. The results presented in (Table 4) clearly indicate that for all values of K2O the ratios K/Rb, Ba/Sr, Ca/Sr and Ba/Rb all fall, whilst K/Sr though variable on balance rises towards the 'zone of migmatisation'. These results, therefore, suggest that the east–west variation in gneiss chemistry may reflect a zonation unrelated to the degree of migmatisation. Soldin (1978) showed a correlation between modal mineralogy and various elemental ratios, K/Rb and Ba/Rb increasing with increasing hornblende content, whilst Rb/Sr decreased. This would seen to accord with Myers' (1970a, fig. 1) conclusion that biotite gneisses predominate in the east of North Harris. Soldin (1978) states that the difference in mineralogy reflects a fundamental difference in the rock types rather than a superimposed metasomatic effect.

(Table 3) Average chemical analyses of quartzofeldspathic gneisses

1 2 3 4 5 6 7 8
SiO2 68.72 68.00 67.1 69.4 66.72 61.0 61.22 64.56
TiO2 0.32 0.36 0.34 0.4 0.34 0.6 0.54 0.47
Al2O3 15.07 15.29 15.48 14.7 16.04 15.7 15.64 15.74
Fe2O3 0.73 1.70 1.26 0.9 1.94 2.9 3.07 2.53
FeO 1.87 1.65 2.38 2.1 1.47 3.0 2.57 2.00
MnO 0.04 0.04 0.05 0.05 0.04 0.1 0.08 0.06
MgO 1.19 1.20 1.44 1.6 1.44 3.60 3.36 2.23
CaO 2.99 3.51 4.81 3.1 3.18 5.8 5.57 4.50
Na2O 4.27 4.20 4.62 4.4 4.90 4.3 4.42 4.60
K2O 2.70 2.27 1.5 2.0 2.09 1.0 1.03 1.15
P2O5 0.11 0.13 0.1 0.14 0.2 0.18 0.16
Ba 797 787 809 795 713 720 757 779
Ce 65 71 50 48 42
Co 28 19 66 35 45
Cr 39 25 26 <50 32 100 88 48
Cu 31 15 25 35 50
Ga 12 10 15 15 17.5
La 53 50 43 55 32 20 20
Li 29 14 22 10
Nb 4 6 5 5 5
Ni 17 21 23 25 20 65 58 37
Pb 19 46 6 22 13 12
Rb 122 83 41 85 74 10 11 13
Sr 564 466 370 530 580 545 569 565
Y 8 7 11 7 10 9 8
Zn 48 71 35 45 80
Zr 171 176 185 135 193 190 202 197
K/Rb 184 227 304 195 234 763 737
K/Sr 39.7 40.4 33.6 31.3 30.5 15.5 17.0
K/Ba 28.1 23.94 15.39 20.9 24.3 11.3 12.3
Rb/Sr 0.22 0.18 0.11 0.16 0.13 .019 .023
Ba/Rb 6.5 9.5 19.7 9.4 9.6 68 60
Ca/Sr 38 54 93 39 70 57
Ba/Sr 1.41 1.69 2.19 1.3 1.3 1.4
Ca/Y 2669 3580 3122 3200 4400 4000
  • 1 Average of 31 analyses from Lewis and Harris west of grid easting NB 1100;
  • 2 Average of 118 analyses from Lewis and Harris east of grid casting NB 1100;
  • 3 Average of 5 analyses from South Uist;
  • 4 Estimated average from Laxfordian area of mainland (Bowes, 1972);
  • 5 Average of 39 gneisses from the Rhiconich area of the mainland Laxfordian (Tarney et al., 1972);
  • 6 Estimated average of Scourian area of mainland (Bowes, 1972);
  • 7 Average of 254 gneisses from the Drumbeg area of the mainland Scourian (Tarney et al., 1972);
  • 8 Average of 154 gneisses from the Assynt area of the mainland Scourian (Tarney, 1972).
  • Numbers 1 and 2 include data from Soldin (1978) and Skinner (1970).

In the Uists the results (column 3, (Table 3)) indicate that the gneisses there are even more depleted in the lighter elements than those of the eastern Lewis and Harris, having higher K/Rb, Ba/Rb, Ca/Sr and Ca/Y ratios and lower K/Sr, K/Ba, Rb/Sr and Ba/Sr ratios. In some respects these rocks have a chemistry intermediate between that of gneisses from Lewis and Harris and that of gneisses from the Scourian block of the Scottish mainland (Table 3).

These results are in accord with the ideas of McQuillin and and Watson (1973) who suggested that the Hebrides possessed a NE-SW lithological grain evidenced by a westward fall in the regional gravity anomaly map. The reasons for this regional variation are matters of considerable speculation. Two possibilities might be considered. Firstly, the general trend in the various elemental ratios in the gneisses from the Uists, through eastern Lewis and Harris to western Lewis and Harris is similar to changes recognised in Coll and Tiree by Drury (1974) and interpreted as due to the amphibolitisation of granulite-facies rocks. In this context it may be significant that the main areas of pyroxene-bearing gneiss in the Outer Hebrides are in eastern South Uist and east Barra (see below). Secondly, Tarney et al. (1972) suggested that mantle degassing during the Archaean might lead to a general upward diffusion of the lighter elements through the crust. Developing these arguments it is possible that the western half of Lewis and Harris may represent a higher crustal level than the east coast, or at least an area where the removal of lighter elements is less advanced. It is interesting to note in this context that Moorbath et al. (1975) state that the gneisses of South Uist, Benbecula and Barra have suffered extreme depletion in uranium relative to those of North Uist although they ascribe the depletion to Scourian metamorphism. The possibility that the differences may simply reflect a change in the original lithologies (see pp.12–14) seems less likely given the gradational nature of the variations.

(Table 4) Comparison of various elemental ratios for 'non-migmatic' gneisses both outwith and within the general 'zone of migmatisation'. Arbitrary values of K2O are chosen for comparative purposes

K2O 1.5% 1.5% 2.0% 2.0% 2.5% 2.5% 5.7%
1 2 1 2 1 2
K/Rb 140 190 178 212 200 360 640
Ba/Sr 0.4 0.5 0.5 1.1 1.2 1.2 0.4
K/Sr 26 15 26 30 33 28 152
Ca/Sr 35 45 37 72 32 45 32
Ba/Rb 4 7 4 7 7 15 2
  • 1. 'Non-migmatitic' gneisses outwith the 'zone of migmatisation'
  • 2 'Non-migmatitic' gneisses from within the 'zone of migmatisation'
  • The final column represents a migmatised gneiss from within the zone

This discussion is a preliminary statement of the problem. A possible solution must await a detailed investigation beyond the scope of the present survey. Chemical studies, in particular, will have to be conducted with great care in order to distinguish possible metasomatic effects from variation in original lithology, and will also need to take account of the possible preferential susceptibility of some lithologies to recrystallisation.

Metamorphism

As described above, the quartzofeldspathic gneiss shows a variety of mineral assemblages ranging from two-pyroxene granulite facies to the lower amphibolite/greenschist facies. At the present time by far the greater part of the gneisses are the amphibolite facies, the higher-grade rocks being restricted to a few localities mainly in Barra and South Uist. The question arises as to the age and extent of the granulitefacies metamorphism.

Dearnley (1962a) regarded Laxfordian crystallisation as falling into two distinct phases, an early granulite-facies metamorphism and a later retrogressive-amphibolite facies event. However this interpretation now seems unlikely (Coward et al., 1969; Moorbath et al., 1975) and the majority of workers probably regard Laxfordian recrystallisation to have taken place largely in the amphibolite facies (e.g. Myers, 1970a; Taft, 1978), with only very local recrystallisation in the granulite facies (Coward, 1973b; Myers, 1971). Although in some areas amphibolite facies recrystallisation appears to have continued beyond the deformational episodes, in others late deformational events are associated with upper greenschist conditions.

The main development of granulite-facies rocks is believed to be of Scourian age; the extent, however, is very uncertain. In Barra, Francis (1973) suggested that the boundary between his eastern and western gneiss, which roughly coincides with the present boundary between granulite- and amphibolite-facies rocks, was the junction between an infrastructure and a suprastructure. It seems more likely, however, to be the edge of extensive Laxfordian reworking, possibly controlled by pre-existing differences in the metamorphic grade, suggesting that the Scourian granulite facies did not extend much beyond its present outcrop.

The chemistry of the amphibolite-facies gneisses closely corresponds to that in the Laxfordian areas of the mainland, that is, they are relatively rich in lithophiles and thorium ('Carney et al., 1972), which might indicate that the rocks had not been subjected to granulite-facies metamorphism (Heier, 1973). It is worth noting in this context that in their chemistry the Uist gneisses are in part intermediate between the gneisses of Harris and Lewis and those of the Scourian block of the mainland, perhaps indicating a progressive depletion of lighter elements and increase in metamorphic grade southwards towards Barra and South Uist. Moorbath et al. (1975), working on lead isotopes show that the gneisses of South Uist and Barra, unlike those of North Uist, suffered extreme depletion in uranium during the Scourian; this may be taken to indicate more extensive granulite-facies metamorphism in the south with subsequent retrogression.

It is, therefore, concluded that during the Scourian the gneisses locally reached granulite facies particularly in the south and east, although the exact original extent of these high-grade rocks is unknown. The Laxfordian was dominated by amphibolite-facies recrystallisation, the granulite-facies rock that remains presumably resisted amphibolitisation because of the lack of available water.

(Figure 3) Classification of quartzofeldspathic gneisses by volume per cent of modal minerals (after Streckeisen, 1976). a—granodiorite field; b—tonalite field.

(Figure 4) Distribution of various elemental ratios in the quartzofeldspathic gneisses, showing low-, medium- and high-range values. The top map shows the number of samples within each quarter.

(Figure 5) Plot of various elemental ratios against SiO2 for the quartzofeldspathic gneisses to show geographical variation across Lewis and Harris: represent samples west of grid easting NB 1100; represent samples east of grid easting NB 1100.

(Figure 6) AFM plot (weight per cent oxides) of pre-Scourian gneiss units. ▪ layered basics from (Table 5) . x transitional rocks between basic and metasediment from (Table 5) . garnetiferous metasediments from (Table 5) , Sheraton et al. (1973), Palmer (1971) and Tarney and others (1972). 0:a average of four Langavat metasediments (Palmer, 1971; (Table 10) ); b semipelites from the Langavat group (Table 10) . +:D, average of Dalradian slates (Hickman, 1975, table 3); M average of Moine pelites (Butler, 1965, (Table 3) ); G average granodiorite (Le Maitre, 1976). average of mainland Scourian gneisses, numbers refer to analyses in (Table 3) . average of Outer Hebrides and mainland Laxfordian gneisses, numbers refer to analyses in (Table 3) . Dashed lines define general field of metasediments (upper) and quartzofeldspathic gneisses (lower)

(Figure 23) Compositions of gneiss and Late-Laxfordian granite in normative Q-ab-or and an-ab-or diagrams with the 1 kb and 5 kb cotectics (from Strong, 1979). quartzo-feldspathic gneiss. granite. leucogranite.

(Plate 4) Photomicrographs of textures in Lewisian gneiss a Highly strained quartzofeldspathic gneiss. Glen Langadale, Harris, (S71999) [NT 386 241]. X 9.5. (PMS 318) b Garnetiferous metasediment. Claddach Illeray, North Uist. (S61278) [NF 7923 6467]. X 9.5. (PMS 319) c Typical hornblende-biotite gneiss. Eilean na Cille, Benbecula. (S60106) [NF 8632 4624]. X 9.5. (PMS 314) d Foliated biotite gneiss, Loch Laxavat Ard, Lewis. (S63150) [NB 2456 3848]. x9.5. (PMS 313) e Hornblende-pyroxene gneiss. Fuiay, Barra. (S58051) [NF 745 023]. X 9.5. (PMS 320) f Foliated hornblende-biotite gneiss. Tiumpan Head, Lewis. (S63154) [NB 5712 3780]. X9.5. (PMS 316)

(Plate 8) Undeformed Younger Basic sheet (D) cutting a strongly folded Late-Scourian dyke (I). Rubha Carraig-chrom, Fuday. [NF 7435 0840] (D02951)

(Plate 9) Undeformed Younger Basic dyke (D) cutting a late pegmatite (P) which itself cuts a deformed Late-Scourian dyke (I). South-east Fuday [NF 7429 0843] (D02908)

(Table 2) Modal analyses of quartzofeldspathic gneisses

(Table 3) Average chemical analyses of quartzofeldspathic gneisses

(Table 4) Comparison of various elemental ratios for 'non-migmatic' gneisses both outwith and within the general 'zone of migmatisation'. Arbitrary values of K2O are chosen for comparative purposes